系统之家 网站地图| TAG标签| RSS订阅| 加入收藏
当前位置:系统之家 > 电脑软件 > 系统工具 >

MathType数学公式编辑器v7.4中文破解版

MathType数学公式编辑器v7.4中文破解版
更新时间:2025-02-22 04:08 软件大小:9.84 MB 软件类型:系统工具
软件授权:免费版 软件语言:简体中文 软件分类:国产软件
应用平台: 软件版本:.rar

安全检测:

推荐星级:

软件介绍

MathType数学公式编辑器是一款可以帮助用户在WPS、Office办公软件中快速输入数学公式、符号的辅助插件,具备强大的功能和丰富的模板,用户只需要点点手指就可以完成操作,极大的提高了工作效率,本站为大家提供的是MathType数学公式编辑器破解版本,可以无期限免费使用,有喜欢的朋友赶紧下载吧!

MathType数学公式编辑器v7.4中文破解版

MathType数学公式编辑器软件特色

Mathtype适合人群。Mathtype可用于教育教学、科研机构、工程等领域。Office与每个版本兼容。Mathtype与Office兼容性好,支持各版Office软件。多平台支持Mathtype可用于800+软件应用程序和网站建立公式。支持手写Mathtype支持手写输入公式,智能识别手写内容,触摸鼠标编写。所见即所得点击Mathtype界面中的模板,只需适当修改公式编辑任务。自动化处理支持一键转换为Latex、Amslatex等代码,只需单击一次,公式就会跳到纸上。

MathType数学公式编辑器教程

1、用户可以选择免费使用30天,后点击下一步;

MathType数学公式编辑器v7.4中文破解版

2、选择合适的安装位置进行安装;

MathType数学公式编辑器v7.4中文破解版

3、安装时间不长耐心等待即可。

MathType数学公式编辑器v7.4中文破解版

更新日志

1、完美兼容Windows 10操作系统;

2、可在Office2016、Office 365上运行;

3、新增兼容800+软件应用程序和网站;

4、其中的MathPage支持MathJax技术;

5、支持数学手写识别;

6、新增支持更多数学符号和字体。

7、增加更多保存格式。

使用方法:

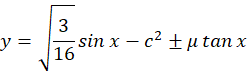
1、首先打开公式编辑器,进行公式编辑。首先我们需要熟悉一下编辑模板上有哪些公式,这些公式的位置在哪里。熟悉了之后再进行公式编辑的时候会更流畅 自如。MathType数学公式编辑器v7.4中文破解版2、然后开始公式编辑,在这里我以下图为例。接下来就是向大家讲解如何使用mathtype7来编辑这个公式。MathType数学公式编辑器v7.4中文破解版3、先打出“y=”,接下来需要找到根号√的位置。选择√工具,然后我们需要在√的里面输入3/16,先找到“-”工具后在相应的位置输入相应的数字。公式模板具体位置如图所示:MathType数学公式编辑器v7.4中文破解版4、然后sinx只需要直接输入就可以了,不需要模板。下一步我们要找到的模板是幂函数,点击相应的模板,输入数字2就可。里面的模板里都有一个黑点,黑点的位置就是等会儿需要输入数字的位置。所以这里面需要看清楚黑点的位置。不要选错了。MathType数学公式编辑器v7.4中文破解版5、然后需要输入±号,这个公式的模板位置如图所示:MathType数学公式编辑器v7.4中文破解版6、下一步是找到希腊字母μ,这个字母的位置如图所示,在这个模板里面基本上都是希腊字母。MathType数学公式编辑器v7.4中文破解版7、最后只需要直接输入tanx就行了。让我们看一下最后公式编辑的效果。MathType数学公式编辑器v7.4中文破解版

下载地址